产品专业师生获第三届铸剑杯文化创意大赛139项奖项
为庆祝中国人民解放军建军95周年而举办的第三届铸剑杯文化创意大赛圆满结束,耿丹国际设计学院产品设计专业再创佳绩,产品设计专业师生获得139项设计奖项,1项国防科技知识竞赛奖,3项优秀指导教师荣誉。

大赛由中国信息协会经济与国防协调发展专业委员会、中国和平利用军工技术协会、河北省军民融合促进会共同主办。举办本次大赛的目的意在更好地赓续传承我军光荣传统,贯彻落实国防科技工业、军民融合新闻宣传与科普文化工作要求,全面提升大学生参与国防、热爱国防、学习军史和国防科技知识的热情,不断增强国防科技、军工文化艺术内涵,充分展示当代大学生的国防情怀,用优秀的作品、优异的成绩向党的二十大献礼。
产品设计专业同学杨佳颖、张蒙齐、翟宇晴等在专业教师时晓明、李中豪、赵晔童、冯东升的组织辅导下获得131项设计奖,其中包括全国决赛一等奖5项、全国决赛二等奖11项、全国决赛三等奖18项、二等奖(省赛)22项、三等奖(省赛)75项。时晓明老师获专业/教师组全国决赛一等奖1项、全国决赛三等奖1项、一等奖(省赛)1项、二等奖(省赛)1项、三等奖(省赛)1项;李中豪老师获专业/教师组二等奖(省赛)3项。陈熙锦同学获第三届国防科技知识竞赛二等奖。时晓明老师、李中豪老师、赵晔童老师获优秀指导教师的荣誉称号。


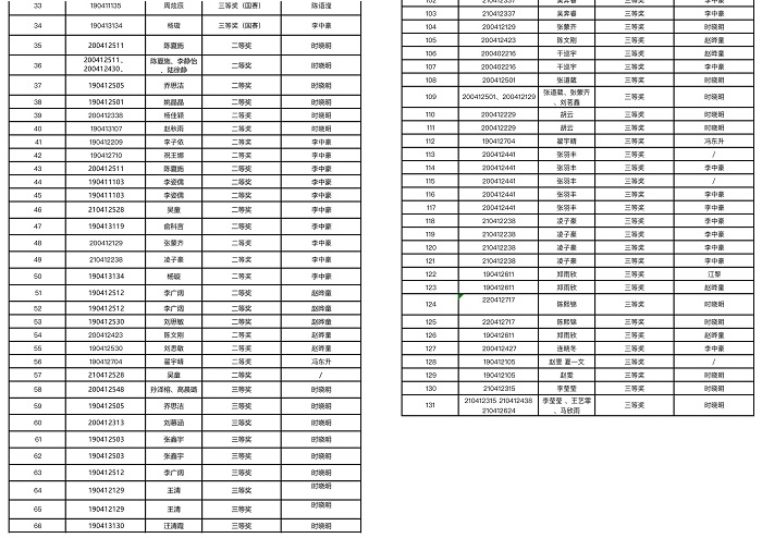
学生获奖名单

杨佳颖同学获全国决赛一等奖

张蒙齐同学获全国决赛一等奖

学生部分铸剑杯文化创意大赛获奖证书电子版
第三届铸剑杯文化创意大赛是目前全国唯一的大学生国防科技、国防军工综合能力竞赛活动,是高校国防教育的一项重要辅助内容,也是今年国内疫情趋于稳定后国防领域举办的第一场线上赛事活动,对于把握高校国防动员的战略定位,营造大学生热爱国防、学习国防科技、向往国防科技领域的氛围,起到重要的促进作用。

陈熙锦获第三届大学生国防科技知识竞二等奖



优秀指导教师奖
近年来学院积极主动配合高等教育国防教学工作,全面提升大学生参与国防、热爱国防、学习军史和国防科技知识的热情,不断增强国防科技、军工文化艺术内涵,充分展示当代大学生的国防情怀,唱响共铸强军兴军梦的主旋律。